< direction="up" onmouseover="this.stop()" onmouseout="this.start()" scrollamount="1" scrollDelay="1" width="220" height="180">上海-浙(zhè)江-杭州-江蘇-南京-無錫-蘇州-北京-天津-重慶-沈陽-長春-吉林-哈爾濱-石家莊(zhuāng)-唐山(shān)-西安-太原-濟南-南京-杭州-成都-貴陽-昆(kūn)明-西藏-拉薩-新疆-烏魯木齊-內蒙古-呼和浩特-包頭-銀川-合肥-福州-南昌-武漢-長沙-南寧-海口-河北-秦皇島-張家口-保(bǎo)定-廊坊-唐山-山東-青島-淄博-煙(yān)台-威海(hǎi)-遼寧省-大連-鞍山-撫(fǔ)順-丹東(dōng)-黑龍江(jiāng)-大慶(qìng)-齊齊哈爾-牡丹江-佳木(mù)斯(sī)-吉林省-延吉-四平-山西省-大同-長治(zhì)-晉城-四川-攀枝(zhī)花-自(zì)貢(gòng)-宜賓-雅安-上海-浙江-杭州-廈門-寧波-昆山-嘉(jiā)興-湖州-常州-保定(dìng)-錦州-湛江-遼寧-雲(yún)南-陝西-青海-銀川-北海-溫州-常州-無錫-蘇州-南京-鎮江-揚州(zhōu)-南通-合肥-徐州-常熟>
- 全國統一(yī)銷售熱線:
- 北京(jīng)總部:
- 010-64437473
- 上海:
- 021-62113795
- 深圳(zhèn):
- 0755-86241216
高壓清洗機噴嘴參數選擇方法—估算法
時間:2013-04-10 來源(yuán): http://www.dygqhm.com
在高壓水射流清洗中(zhōng),噴嘴的作用是(shì)將高壓力低(dī)流速(sù)的(de)水轉化為低壓力高流速的(de)射流。噴嘴的性(xìng)能將直接(jiē)影響射流水力性能和工件的清洗質量,所以在設計製造高壓清洗機中,正確、合理地選擇噴嘴的類型及確定噴嘴的結構參數,是一個極其(qí)關鍵的(de)問題。
一般在高壓清洗機設計中(zhōng),首先根據類比或試驗方法確定係統的壓(yā)力和流量,隨後便(biàn)可按照估算(suàn)法對清洗機噴嘴(zuǐ)參數進(jìn)行(háng)計算。
高壓清洗機(jī)噴嘴參數選擇方法—估算法:
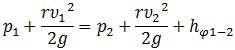
這種方法主要由流量連續性方程和能量守恒方程來確定噴嘴截麵積:
Q=A•V=常數 [不考慮泵到噴嘴的流量損失] 公式(1)
公式(1)中:Q —柱塞泵流量,m³/s;
A —噴(pēn)嘴截麵積,㎡;
V —噴(pēn)嘴處流速(sù),m/s。
公式(2)公(gōng)式(2)中:
—噴嘴上遊某斷(duàn)麵的壓力,Pa;
r —清洗液重度,N/m³;
g —重力加速度,取g=9.81m/s²。
取柱塞泵出口和噴嘴出口兩斷麵,則
=0,
=
,
=V,
=0;即(jí)可得(dé)出:
將公式(4)代入公式(1),便可確定(dìng)噴嘴截麵積。
公式(4)中:
—高壓清洗機的工作壓力(lì),Pa;
為(wéi)簡化起見,蘑菇视频在线观看免费假定不考慮壓力損失,公式(4)便簡化為:
公式(5)公式(5)中:K —清洗液性質有關的(de)係數,對於清水,K=22.36N/(m/s)。
舉例說明:高壓清洗機(jī)的工作壓力
= 7MPa,流量(liàng) Q = 0.55m³/h,工作介質為清水。則與其匹配的噴槍噴嘴(zuǐ)截麵積應為(wéi) A = 1.291mm²。若噴嘴(zuǐ)出口(kǒu)為圓截麵,則其出口直(zhí)徑 d = 1.28mm。
- 標簽:
- 估(gū)算法
- 噴嘴參數
- 選擇方(fāng)法
- 計算方法
- 高壓清洗(xǐ)機
新型高壓清洗機油管清洗噴頭—組合型(xíng)噴頭
2013-05-28
高壓清洗機在鋼(gāng)板清洗應用中壓力、流量的
2013-08-07
高壓水(shuǐ)射流凝汽(qì)器銅(tóng)管刮削式清(qīng)洗塞(sāi)的設計
2014-01-03
高壓清洗機噴嘴直徑對射流收縮的影響
2015-01-14
超高壓(yā)清洗(xǐ)機在金屬表麵除鏽應用中壓力、
2012-08-25
高壓清洗機日常維護:噴嘴的磨損因素及更(gèng)
2018-08-22
高壓水去毛刺機專用噴嘴介紹
2018-07-16
高壓水射流破碎混凝土的優點
2018-07-04
高壓清洗機在管道清洗時的注意事項
2018-06-28
高壓水射流清洗安(ān)全注意事項
2018-06-20



